Rubber antioxidant RD (TMQ)
Chemical name: 2,2,4-trimethyl-1,2-dihydroquinoline
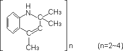
Molecular formula : (C
12H
15N)
n n=2-4
Structure Formula :

CAS NO:26780-96-1
Quality standard(GB/T8826-2011)
| Index name |
Top-grade
|
First grade
|
| Appearance |
amber to brown flaky, granular
|
| Softening point, ℃ |
80 - 100
|
80 - 100
|
| Loss on heat, % ≤ |
0.30
|
0.50
|
| Ash, % ≤ |
0.30
|
0.50
|
Properties: amber to brown flaky, granular . Density 1.05, Soluble in organic solvents such as benzene and acetone, etc, insoluble in water, slightly soluble in petroleum hydrocarbon.
Application: used in tyre and other rubber products
Package: plastic woven bag or paper-plastic laminated bag, 25kg/bag.
Next product: Rubber accelerator MZ